ぎょーむ日誌 2016-12-(01-10)
2016 年 12 月 01 日 (木)
2016 年 12 月 02 日 (金)
2016 年 12 月 03 日 (土)
2016 年 12 月 04 日 (日)
2016 年 12 月 05 日 (月)
-
0620 起床.
朝飯の準備その他ばたばた.
0910 保育園着.
0930 研究室着.
-
1750 保育園着.
2140 とら寝かしつけ
……
苦闘してます
……
2016 年 12 月 06 日 (火)
-
0610 起床.
朝飯の準備その他ばたばた.
0830 保育園着.
0900 研究室着.
-
1750 保育園着.
2140 とら寝かしつけ
……
苦闘してます
……
2016 年 12 月 07 日 (水)
-
0600 起床.
朝飯の準備その他ばたばた.
他言をはばかるハナシでありますが,
ぼーい先生「おしっこ」事件で
……
くたくた & ぐるぐる出動.
路面上は雪に被覆されてるものの天気は晴.
気温は当然ながら氷点下.
0850 保育園着.
0920 研究室着.
ぐったり.
-
1750 保育園着.
2140 とら寝かしつけ
……
2016 年 12 月 08 日 (木)
-
0620 起床.
朝飯の準備その他ばたばた.
0840 保育園着.
0910 研究室着.
-
RT
@echizen_tm
: 機械学習(の実装)をやる人「機械学習はC++」 機械学習(を使った開発)をやる人「機械学習はPython」 機械学習(を使った分析)をやる人「機械学習はR」 機械学習(を使った政治)をやる人「機械学習はExcel」
09:47:44
- 生物の個体群動態をシミュレイト(つまり時系列データ生成)するには library(purrr) や accumulate() を使った関数型プログラミングをすると便利(記述が簡単に ?)…といった内容かな? mutate() とかも使っているが,まだよくわからない…
twitter.com/polesasunder/s…
10:25:17
- サル問題で順列生成しないといけないかも…ということで調べてみたら,現在の R で順列を生成させる方法はいろいろあるけど,お手軽そうな例として library(permute)
pic.twitter.com/UAsDir5VSQ
11:55:27
-
-
RT
@datasci_blogs
: 【裏 RjpWiki】 ネイピア数(e)の近似式(2): library(e1071)d = permutations(7)a = d[,1] ^((d[,2]/10+d[,3]/10)^(-d[,4]/10)-d[,...
bit.ly/1qYbdCf
12:02:02
-
RT
@katabuchi_sunao
: 古峰文三さんという名がインタビュアーの方から出てきた珍しいインタビュー。 「この世界の片隅に」は、一次資料の塊だ
business.nikkeibp.co.jp/atcl/interview…
12:29:43
-
RT
@triadsou
: SASのバグというか実装上の誤りを発見した。とある統計量の計算が間違っているらしく、カイ二乗統計量が負の値になるという・・・
12:38:57
-
RT
@Simon_Sin
: 「フリースクールを義務教育に認めてしまうと登校拒否を助長することになる」 という頭の固いバカ国会議員に対して 「ちゃんと大人になれればどのルートを通ってもいいじゃねえか登校拒否のナニがいけねえんだ」という正論で殴る態度は忘れずにもっていたい
#ss954
13:46:54
-
RT
@triadsou
: SASといえば、もう一個変なケースを見つけている。とあるプロシージャの凖ニュートン法の不具合?で、全く同じデータに同じ初期値を与えているのに収束値が変わるというもの。問い合わせたが原因は不明で、自分は数値計算アルゴリズムはあまり詳しくないのでよく分からず。実用上は多分問題ない。
14:30:12
- ここ数年,11月末は生態学会大会の口頭発表の web オンライン編成システム (in Perl) の準備とかで苦闘していたのだが(毎年,細かい変更があったりするので)…今年はなぜか何も連絡もない…うーむ,温故知新でゑくせるファイル手作業&メイルでやりとりする方式に戻したのかな…?
14:52:03
- 統計モデリング出張こーぎに出るのは楽しいが…大学ごとに様式の異なる履歴書ゑくせるファイルの穴うめ作業(いわゆるネ申な1ハコ1文字充填もあり)をやるのはしんどくていやだ…えーと,来年度は一件だけかな?
14:59:09
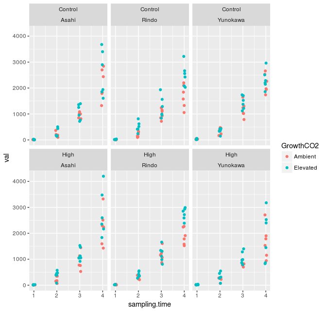
- R 作図の ggplot2 の facet_wrap(左:~ key + site)と facet_grid(右:key ~ site)のちがいがよーやく理解できましたよ(scales = "free_y" も忘れずに)…といったところまでたどりついて,保育園たいむですか…
pic.twitter.com/N71t4yCpIY
17:16:57
-
-
1750 保育園着.
2210 とら寝かしつけ
……
苦闘してます
……
2016 年 12 月 09 日 (金)
-
0610 起床.
朝飯の準備その他ばたばた
……
今朝はとくべつにひどくて,
ぼーい先生おお泣き.
いろいろと難しい
……
0850 保育園着
……
いやはや
……
0940 研究室着.
……
やれやれ
-
2200 とら寝かしつけ
……
苦闘してます
……
2016 年 12 月 10 日 (土)